V.1.4 - Dernière mise à jour : 15/12/2005
Contexte :
caractères quantitatifs
Objectif :
évaluer la proportion d'individus de la distribution qui sont dans une modalité supérieure (ou inférieure) à un certain seuil
Réalisation :
- Classer les individus du plus petit au plus grand ;
cela pose un problème pour classer les ex-aequo !
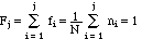
- Calcul des fréquences relatives simples fi
- Calcul de la somme des fréquences relatives Fj cumulée :
formule n°1
où
i est le numéro d'une modalité [i = {1; 2 ; ... ; j - 1 ; j}];
j est le nombre de modalités ( j peut être égal à N si la variable n'est pas en classes) ;
N est l'effectif total ;
ni est l'effectif de la modalité i ;
fi est la fréquence de la modalité i.
- Calcul des fréquences cumulées ascendantes ou descendantes
- fréquences cumulées ascendantes
formule n°2
- fréquences cumulées descendantes
formule n°3
- Tracé des courbes des fréquences cumulées ascendantes ou descendantes
- en abscisse, les modalités
- en ordonnées, les fréquences cumulées
Signification :
- Permet de répondre graphiquement à la question :
"quel est le pourcentage des individus qui dépassent tel seuil ?"
ou
"quel est le pourcentage des individus en dessous de tel seuil ?"
- Permet, tout comme l'histogramme, de repérer les zones de concentration et de dispersion des individus
Lorsque la pente est :
- faible, les valeurs (des individus) sont dispersées ;
- forte, les valeurs (des individus) sont concentrées.
Lorsqu'il y a un replat, la distribution est discontinue* (multimodale*)
- L'intersection des courbes de fréquences cumulées croissantes et décroissantes indique que l'on a atteint 50% de l'effectif, c'est la médiane*.
Exemple : Télécharger le Tableau 1 - Les précipitations du mois de septembre au Mont Aigoual (1896-1925) - (Sources : Météo France, in SAINT-JULIEN 1999, p.17).
Ce fichier est au format EXCEL 5.0 et "pèse" 97 Ko.
A partir du tableau élémentaire :
- Trier les années par ordre croissant de précipitations (colonne A et B, tab. 1)
- Compléter les colonnes :
- Rang (C)
- Année (D)
- Pluviosité du mois de septembre (E)
- Compléter la colonne des précipitations exprimées sous forme de fréquences relatives simples (I)
- Compléter les colonnes des fréquences relatives cumulées :
- ascendantes (G);
- descendantes (H)
- Construire les courbes de fréquences cumulées
- ascendantes
(pour améliorer la lisibilité du graphique, rajouter un zéro en tête de colonne G)
- descendantes
(pour améliorer la lisibilité du graphique, rajouter 1 en tête de colonne H)
Rajouter également un zéro en tête de colonne "Pluviosité" F
- Passer les colonnes G et H en pourcentages
- Sélectionner en même temps les 3 colonnes (F5 à H35)
- Choisir le graphique de type : "nuage de points reliés par une courbe sans marquage des données"
- En dessous de quels seuils de précipitations se trouvent :
- 25 % des années ayant le mois de septembre le plus sec
estimer sur le graphique ou lire en colonne F (entre F12 et F13 = 80 mm)
(chercher en G => 25%, puis entre F12 et F13 calculer le demi intervalle => 80 mm)
- 50 % des années ayant le mois de septembre le plus sec
estimer sur le graphique ou lire en colonne F (entre F21 et F22 = 159 mm)
- Quelle proportion de mois de septembre a eu moins de 100 mm (F14) de précipitations ?
estimer sur le graphique ou lire en colonne D (D14/D35 soit G14=30%)
- Quel volume de précipitations est dépassé 9 années sur 10 ?
estimer sur le graphique ou lire en colonne D (10% de 30 années, c'est D8 soit en F8=31 mm)
- Quelle est la probabilité pour qu'un mois de septembre ait des précipitations comprises entre 60 (F11) et 120 mm (F16) au Mont Aigoual ?
estimer sur le graphique ou lire en colonne G (G11 = 20% et G16 = 37%)
Attention c'est bien une proportion d'année qui est calculée ici !
Figure 1 : Courbe des débits classés du Rhône (1920-1961)

- Que vous apprennent les courbes de la figure 1 sur le débit du Rhône ?
La courbe annuelle des débits classés (DC) d'un cours d'eau en un point de celui-ci est obtenue en rangeant les débits quotidiens (vol. d'eau écoulé en m3/s) par ordre décroissant. On porte en abscisse le nombre de jours de l'année (0 à 365 j 1/4) et en ordonnée les débits classés ( en m3/s). On obtient pour chaque lieu (ici Beaucaire, La Mulatière et Valence) une courbe des effectifs cumulés des jours de l'année en fonction des DC atteints durant l'année. Chaque courbe présente les débits classés des plus élevés aux plus faibles.
Classiquement on distingue :
|
|
|
|
|
|
|
|
|
|
|
|
|
|
|
|
|
|
|
|
|
Figure 2 : Courbes hypsographiques de l'altitude des principales régions naturelles de la France

- Comment caractériser le relief des grandes régions de la France à partir des courbes de fréquence cumulée des altitudes établies par De Martonne ?
La courbe hypsographique d'une région donnée est obtenue en cumulant les surfaces dont se compose cette région (exprimées en % sur le graphique ci-dessus en abscisse) en fonction de leur altitude.
|
Communiquez-moi par courrier électronique les réponses aux questions suivantes Question n°2.3.1. Quelle courbe permet de lire directement (cf. tab. 1) qu'un tiers (± 33 %) des mois de septembre au Mont Aigoual font plus de 200 mm de pluie ?
Question n°2.3.2. Dans quel département est la station qui enregistre presque 1 500 m3/s pendant la moitié de l'année (cf. fig. 1) ?
Question n°2.3.3. Quel pourcentage de leur territoire le Jura et la Corse ont en dessous de 750 m (cf. fig. 2) ?
|
NB : les mots suivis de "*" font partie du vocabulaire statistique, donc leur définition doit être connue. Faites-vous un glossaire.