Vincent GODARD

Département de Géographie

Université de Paris 8


V.1.5 - Dernière mise à jour : 13/01/2007

 

Fiche Mémo n°3.3. du cours de Statistique :

Les autres moyennes

 

 

Lorsque les phénomènes sont :

- multiplicatifs ou cumulatifs ;

- mettant en cause des fractions, ...

Il faut utiliser une moyenne :

- géométrique ;

- harmonique ;

Cette partie du cours a fait l'objet de controverses sur un forum. Si vous souhaitez en prendre connaissance :

Le forum est fr.sci.maths, il est accessible au http://groups.google.com/group/fr.sci.maths?lnk=gschg&hl=fr et en particulier au message suivant : http://groups.google.com/group/fr.sci.maths/browse_thread/thread/752db0eb00550fa5/fceed4c8d76a3a50?hl=fr#fceed4c8d76a3a50

L'exemple sur les champs mériterait aussi une petite précision.

- quadratique.

 

1. La moyenne géométrique

Elle permet, entre autre, de calculer le taux de variation moyen

qui fonctionne sur le même principe que les taux de réduction ou agrandissement des :

- échelles ;

- photocopieurs, ...

Exemple n°1 :

- Prenons une population de 100 individus qui s'accroît de 12% la 1ère année

100 * 12% = 100 * 1,12 = 112 individus

- l'année suivante, accroissement de 14% (* 1,14)

- l'année suivante baisse de 4% (* 0,96)

- L'accroissement total est de :

100 * 1,12 * 1,14 * 0,96 = 122,57 individus

C'est un phénomène multiplicatif

Mais quel est le taux d'accroissement annuel ?

formule n°1 (mem33ta.htm)

Avec :

le taux d'accroissement moyen annuel ;

j le nombre d'années ;

le produit de l'accroissement annuel.

ou encore, le quotient de la Quantité finale par la Quantité initiale

La moyenne géométrique permet de répondre au 3 questions suivantes :

- Quel est l'accroissement moyen annuel de la population sur 10 ans ?

- Combien sera-t-on dans 10 ans ?

- Combien de temps nous faut-il pour doubler ?

- Moyenne géométrique pondérée

formule n°2 (mem33ta.htm)

j modalité dotée d'un effectif ni

Exemple n°1 (suite) :

- Calcul du taux d'accroissement moyen annuel sur les 3 années

= (1,12 * 1,14 * 0,96) 1/3 = 1,07

Démonstration sans tableur (avec les logarithmes et une calculette) :

100 * 1,07 * 1,07 * 1,07 = 100 * 1,12 * 1,14 * 0,96

soit x3 = 1,12 * 1,14 * 0,96

<=> 3 log x = log 1,12 + log 1,14 +log 0,96

<=> log x = (log 1,12 + log 1,14 +log 0,96) * 1/3

<=> log x = 0,03 (avec touche 10x sur la calculette)

<=> x = 1,07

- Calcul du taux d'accroissement moyen annuel si on ne connait que les quantités initiales et finales

= (122,57 / 100) 1/3 = 1,07

Exemple n°2 :

Données tirées de : GWATTKIN D. et BRANDEL S. La croissance de la population dans le Tiers-Monde. Pour la Science, juillet 1982 : 14-23. Chiffres utilisés p. 22.

1) La population du 1/3 monde était d'environ 3,2 milliards d'individus en 1982

- si elle est de 5 milliards d'individus en 1995,

Quel est le taux d'accroissement annuel moyen ?

- Calcul de la racine treizième du produit de l'accroissement annuel

On ne connait pas xi l'accroissement annuel mais on en connait le produit final

c'est le quotient

5 / 3,2 = 1,5625

Donc, le taux d'accroissement annuel moyen, la moyenne géométrique, vaut :

= (1,5625) 1/13 = 1,03493

Soit environ 3,5%

2) Si la population du 1/3 monde était d'environ 5 milliards d'individus en 1995

Combien a-t-elle été en 2000 avec un taux d'accroissement de 3,5 % ?

= 1,035 = (Quantité finale / 5) 1/5 = 1,03493

<=> (1,035)5 = Quantité finale / 5

<=> 5 * (1,035)5 = Quantité finale

<=> Quantité finale = 5,9384

En l'an 2000, la population du 1/3 monde était d'environ 5,94 milliards d'individus

3) Si la population du 1/3 monde était d'environ 5 milliards d'individus en 1995

Combien de temps va-t-elle mettre pour doubler si elle conserve un taux d'accroissement de 3,5 % ?

= 1,035 = (10 / 5) 1/y

<=> log 1,035 = 1/y * log 2

<=> y = log 2 / log 1,035

<=> y = 0,30103 / 0,01494 = 20,15 ans

Pour en savoir plus sur les logarithmes, cliquez ici !

Combien de temps va-t-elle mettre pour doubler si elle atteint un taux d'accroissement de 0,5 % ?

= 1,005 = (10 / 5) 1/y

<=> log 1,005 = 1/y * log 2

<=> y = log 2 / log 1,005

<=> y = 0,30103 / 0,00217 = 138,98 ans

 

On lira avec profit : JACQUARD (A) - 1993 - L'explosion démographique. Paris, Flammarion, Col. Dominos n°8, 126 p.

Exemple n°3

Tableau n°1 : Variation du pouvoir d'achat en France entre janvier 1979 et janvier 1990

Pouvoir d'achat du taux de salaire ouvrier1

(en %)

1980

0,7

1,007

1981

2,3

1,023

1982

2,1

1,021

1983

-0,3

0,997

1984

-0,1

0,999

1985

-0,4

0,996

1986

1,1

1,011

1987

0,3

1,003

1988

1,1

1,011

1989

0,1

1,001

1990

1,0

1,010

Sources : INSEE, Tableau de l'économie française, édition 1990, p.83

1 Salaire brut de l'heure, non supplémentaire, des ouvriers payés au temps, à l'exclusion de toute prime.

Quel est le taux d'accroissement annuel moyen du pouvoir d'achat ouvrier ?

En utilisant la moyenne géométrique pondérée :

= (1,007 * 1,023 * 1,021 * 0,997 * 0,999 * 0,996 * (1,011)2 * 1003 * 1,001 * 1,010) 1/11 = 1,007144476

La variation moyenne de pouvoir d'achat, , a été de 0,7%

 

En conclusion :

Quand utilise-t-on l'une ou l'autre des moyennes?

Quand la logique est multiplicative

=> moyenne géométrique

Quand la logique est additive

=> moyenne arithmétique

 

2. La moyenne harmonique

Elle permet, entre autre, de calculer des moyennes de pourcentages ou des moyennes de ratios

L'utilisation la plus fréquente concerne les données sous forme de fractions

Comme des :

- vitesses moyennes ;

- quantités par unité (nb. de chênes à l'hectare, le PIB par habitants), etc.

Exemple n°1 :

Un véhicule doit faire un aller-retour de 10 km

- à l'aller, il roule à 100 km/h

- au retour, il roule à 50 km/h

La moyenne arithmétique donne 75 km/h

Avec cette moyenne le temps mis est de :

75 km => 60 mn

20 km => x min

<=> x = (60 * 20) / 75 = 16 min

Mais si on décompose le temps effectivement mis :

A l'aller

100 km => 60 mn

10 km => x mn

<=> x = (60 * 10) / 100 = 6 mn

Au retour

50 km => 60 mn

10 km => x mn

<=> x = (60 * 10) / 50 = 12 mn

Aller + Retour = 18 mn !

Soit une vitesse moyenne de :

20 km => 18 mn

y km => 60 mn

<=> x = (60 * 20) / 18 = 66,66 km/h

- en 9 mn à 66,66 km/h on parcourt bien 10 km

 

Ce sont des problématiques de réseaux (de bus ou autre !)

sauf que la vitesse est de 5 à 10 km/h

 

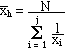
- Pour se simplifier la vie, on peut utiliser la formule de la moyenne harmonique* :

formule n°3 (mem33ta.htm)

- Formule de la moyenne harmonique pondérée :

formule n°4 (mem33ta.htm)

Avec :

j le nombre de modalités ;

N la somme des effectifs ni.

Exemple n°1 (suite) :

En prenant la moyenne harmonique

= 2 / ((1 / 100) + (1 / 50)) = 2 / ((1 / 100) + (2 / 100)) = 66,66 km/h

 

Exemple n°2 :

On épand 5 kg d'engrais par ha sur un premier champs, 6 sur un deuxième et 8 sur un troisième.

Quelle-est la teneur moyenne par ha ?

La moyenne arithmétique est de (5 + 6 + 8) / 3 = 6,3 kg/ha

La moyenne harmonique est de :

= 3 / ((1 / 5) + (1 / 6) + (1 / 8)) = 3 / ((48 / 240) + (40 / 240) + (30 / 240)) = 6,1 kg/ha

 

Exemple n°3 :

Tableau n°2 : Chômeurs masculins au sens du BIT selon le sexe et l'âge en 1989

Effectifs de chômeurs*

Taux

(*1 000)

(en %)

< 25 ans

249,0

16,9

[25 ; 50[

565,1

6,1

>= 50 ans

168,5

6,1

Total

982,6

7,3

Sources : INSEE, Tableau de l'économie française, édition 1990, p.65

Quel était le taux de chômage moyen pour les hommes en 1989 ?

En utilisant la moyenne harmonique pondérée :

= 982,6 / ((249 / 16,9) + (565,1 / 6,1) + (168,5 / 6,1)) = 7,27873295

= 7,3%

* Attention, si cela avait été l'effectif total (à la place de l'effectifs des chômeurs masculins), il aurait fallu utiliser une moyenne arithmétique pondérée !

 

3. La moyenne quadratique

Elle permet, essentiellement, de calculer des moyennes d'écart

L'utilisation la plus fréquente concerne les calculs de surface moyenne

- Formule de la moyenne quadratique* pondérée :

formule n°5 (mem33ta.htm)

Avec :

xi2 produit des côtés (des surfaces par exemple) ou côté au carré ;

N la somme des effectifs ni.

 

Exemple :

Soit 4 îlots boisés carrés dont la taille est connue par côté, soit 300 m, 300 m, 450 m et 600 m.

Quelle-est la taille moyenne de ces bois, exprimée par le côté ?

La moyenne arithmétique est de 2*300 + 450 + 600 / 4 = 412,5 m

La moyenne quadratique est de :

= (((2 * 3002) + (1 * 4502) + (1 * 6002)) / 4)1/2 = 430,8421985

= 430,84 m

 

Remarque

On trouvera d'autres exemples d'utilisation de ces moyennes dans :

- BOURSIN 1988, pp. 50-58 ;

- LAHOUSSE et PIEDANNA 1998, pp. 38-39 ;

- SALY 1991, pp. 119-121.

 

En conclusion,

On utilisera une moyenne :

- géométrique lorsque les caractères sont multiplicatifs ou cumulatifs ;

- harmonique lorsque les caractères mettent en cause des fractions, des pourcentages, ...

- quadratique lorsque l'on calcul des moyennes d'écart

 

 

4. Test de compréhension

Communiquez-moi par courrier électronique les réponses aux questions suivantes

Question n°3.3.1. Si l'on veut calculer le pourcentage moyen de femmes dans l'ensemble des CSP, il vaut mieux utiliser la moyenne :

a) arithmétique

b) géométrique

c) harmonique

b) quadratique

Question n°3.3.2. Si l'on veut calculer le taux d'accroissement moyen de la population carcérale, il vaut mieux utiliser la moyenne :

a) arithmétique

b) géométrique

c) harmonique

b) quadratique

 

Précisez à la rubrique objet :

EC statistique

puis dans le corps du message vos

n° d'étudiant, nom et prénom

puis vos

réponses

vgodard@univ-paris8.fr

 

 

Retour au début de la fiche Mémo

 

Fiche Mémo suivante

 

NB : les mots suivis de "*" font partie du vocabulaire statistique, donc leur définition doit être connue. Faites-vous un glossaire.